¿ø½ÃÀÚ·á°¡ ÀÔ·Â ¿Ï·áµÇ¸é °¡Àå ¸ÕÀú ÁøÇàÇÏ´Â°Ô µµ¼öºÐÆ÷Ç¥ È®ÀÎÀÌ´Ù. ¿ÀŸµµ ³ª¿À°í ÀÌ»óÄ¡µµ ³ª¿À°í, ¾î¶² ºÐÆ÷¸¦ ¶ç´ÂÁö°¡ ´ëÃæ ³ª¿Â´Ù. ±×¸®°í Àç¼ö°¡ ÁÁ´Ù¸é ¾Ëµí ¸ð¸¦ µíÇÑ ±ÔÄ¢¼ºµµ ³ª¿Â´Ù('µµ¼öºÐÆ÷Ç¥ È®ÀÎ' ÀýÂ÷¸¦ Àý´ë °£°úÇÏÁö ¸¶½Ã±â ¹Ù¶õ´Ù).
¡Ø ÁÖÀÇ : ÇØ´ç ÀÚ·á´Â ÀÎ¿ë °úÁ¤¿¡ ¿À·ù°¡ ÀÖÀ» ¼ö ÀÖ½À´Ï´Ù.
°¢ ±¸°£¿¡ µû¸¥ °¿ø±Ç »êÀÌ Â÷ÁöÇÏ´Â ºñÀ²À» '°¿øºñÀ²'·Î ³ªÅ¸³Â´Ù.
E3 ¼¿:
=C3/$D3
±×¸®°í À̸¦ ±×·¡ÇÁ·Î ³ªÅ¸³»¸é...
±×¸²ÀÌ À̻ڴÙ. ±×¸²À» Á»´õ º¸¸é(Á¤È®ÇϰԴ µµ¼öºÐÆ÷Ç¥¸¦ º¸´Â°Å´Ù), Á¶±Ý Â÷À̰¡ ÀÖÀ¸³ª ³ôÀ̰¡ Áõ°¡ÇÒ¼ö·Ï °¿øµµ¿¡ ÀÖÀ» °¡´É¼º ¶ÇÇÑ Áõ°¡ÇÑ´Ù. À̸¦ °¡Áö°í ¸î¹øÀ» ¶°µé¾î¿Â ȸ±ÍºÐ¼®À» µ¹·Áº¸ÀÚ.
¿¢¼¿ÀÇ Ãß¼¼¼±À» ÀÌ¿ëÇØ ´Ü¼øÈ¸±Í¸¦ µ¹·ÁºÃ´Âµ¥ ¾óÃß ¹¹°¡ Çϳª ³ª¿Ã °Í °°´Ù. ±×·±µ¥ ¹®Á¦°¡ ÀÖ´Ù. ³ôÀ̰¡ Áõ°¡ÇÒ¼ö·Ï ÃßÁ¤Ä¡´Â 1À» ÃʰúÇÑ´Ù. ¾Æ´Ï, ÀÌ¹Ì ÁÖ¾îÁø ¹üÀ§¿¡¼ ÃʰúÇß´Ù(ÇÕ¿¡ ´ëÇÑ ºñÀ²ÀÌ 0°ú 1 »çÀ̸¦ ¹þ¾î³ªµµ µÇ´Â°Å¾ß?). Áï ¸ðÇüÀÌ ÀûÀýÄ¡ ¸øÇÏ´Ù´Â ¾ê±â´Ù(±×·¯¹Ç·Î ¾ê±â´Â ´Ù½Ã óÀ½À¸·Î µ¹¾Æ°£´Ù -_-;;).
±×¸²ÀÌ ³Ê¹« ÀÌ»µ¼ ¹ö¸®±ä ¾Æ±õ°í... ¹¹ ¾øÀ»±î?
Ã¥ Á» µÚÀû¿©º¸´Ï ¹º°¡°¡ Çϳª ³ª¿Ô´Ù. ·ÎÁö½ºÆ½ ȸ±ÍºÐ¼®À̶ó°í...
À̸¦ °¡Áö°í ¼±ÇÐÀÚµéÀÌ ¿¹¼ú(?)À» ÆîÄ¡´Âµ¥...
ÀÌÂëµÇ¸é ¸Ó¸®¿¡ Áã ³ª´Â ÀÌ, ¿©·µ ÀÖ°Ú´Ù. ¾ðÁ¦³ª ¸»ÇÏÁö¸¸ ÀÌ·±°Å ¸ô¶óµµ »ç´Âµ¥ ÀüÇô ÁöÀå ¾ø´Ù. ¹°·Ð ³ª ¶ÇÇÑ ÀØ°í »êÁö ¿À·¡°í... ·ÎÁö½ºÆ½ ȸ±ÍºÐ¼®Àº Á¾¼Óº¯¼ö°¡ 0°ú 1·Î ±¸¼ºµÈ, Áï ÀÌÁø¼öÀÎ °æ¿ì ÀÌ¿ëµÈ´Ù(·ÎÁö½ºÆ½ ȸ±ÍºÐ¼®¿¡ ´ëÇØ¼´Â º°µµ È®ÀÎ ¹Ù¶÷). ±× °á°ú ÃßÁ¤Ä¡´Â È®·üÀÇ °ø¸® Áß ÇϳªÀΠù¹øÂ°¸¦ ¸¸Á·ÇÏ°Ô µÈ´Ù. ±×¸®°í µÎ¹øÂ°µµ ¸¸Á·ÇÏ°í ±×·¡¼ ¼¼¹øÂ°µµ ¸¸Á·ÇÑ´Ù. ±×·¯¹Ç·Î ÃßÁ¤Ä¡´Â È®·üÀÌ µÈ´Ù.
'È®·üÀÇ °ø¸®' ³Ê º»Áö ¾ðÁ¦´õ³Ä... ÀÚ ´Ù½Ã...
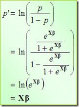
À§ÀÇ ·ÎÁö½ºÆ½ º¯È¯ ¹æ¹ýÀ» ÀÌ¿ëÇØ '°¿øºñÀ²'À» 'ºñÀ²'·Î ¹Ù²Û´Ù.
F3 ¼¿:
=LN(E3/(1-E3))
±×¸®°í Á¾¼Óº¯¼ö´Â 'ºñÀ²'', µ¶¸³º¯¼ö´Â '±¸°£'À¸·Î ȸ±ÍºÐ¼®À» µ¹·Á ȸ±Í°è¼ö¸¦ ±¸ÇÑ´Ù. À̶§ º¸ÅëÀº ¿ÀÂ÷°¡ µ¶¸³ ¹× µîºÐ»êÀ̶ó°í °¡Á¤Çϴµ¥, À̸¦ ¸¸Á·ÇÏÁö ¾Ê´Â °æ¿ì°¡ ÀÖ´Ù. ±×·¡¼ º¸ÅëÀÇ °æ¿ì »ç¿ëµÇ´Â ¹æ½ÄÀ» OLS(Ordinary Least Squares) ÃßÁ¤·®À̶ó Çϰí, ´Ù¸¥ °æ¿ì »ç¿ëµÇ´Â ¹æ½ÄÀ» GLS(Generalized Least Squares) ÃßÁ¤·®ÀÌ¶ó ±¸ºÐÇϸé(°è»ê¿À·ù°¡ ¹ß»ýÇÑ F11 ¼¿Àº ÃßÁ¤·® °è»ê¿¡¼ Á¦¿ÜÇÑ´Ù),
OLS
=MMULT(MINVERSE(MMULT(TRANSPOSE(POWER($A$3:$A$10,{0,1})),POWER($A$3:$A$10,{0,1}))),MMULT(TRANSPOSE(POWER($A$3:$A$10,{0,1})),$F$3:$F$10))
GLS
=MMULT(MINVERSE(MMULT(MMULT(TRANSPOSE(POWER($A$3:$A$10,{0,1})),MINVERSE(N(ROW($D$3:$D$10)=TRANSPOSE(ROW($D$3:$D$10)))*1/($D$3:$D$10*$E$3:$E$10*(1-$E$3:$E$10)))),POWER($A$3:$A$10,{0,1}))),MMULT(MMULT(TRANSPOSE(POWER($A$3:$A$10,{0,1})),MINVERSE(N(ROW($D$3:$D$10)=TRANSPOSE(ROW($D$3:$D$10)))*1/($D$3:$D$10*$E$3:$E$10*(1-$E$3:$E$10)))),$F$3:$F$10))
µÎ ¼ö½Ä ¸ðµÎ ¹è¿¼ö½ÄÀ̰í, OLS´Â LinEst ÇÔ¼ö¸¦ ÀÌ¿ëÇØ °£´ÜÈ÷ ±¸ÇÒ ¼ö ÀÖ´Ù. LinEst ÇÔ¼ö¿¡ ´ëÇØ¼´Â ´ÙÀ½ °Á¸¦ Âü°íÇϽñ⠹ٶõ´Ù.
http://www.iexceller.com/MyXls/External_lectures/OnRainbow/OnRainbow_14.asp
OLS
=LINEST($F$3:$F$10,$A$3:$A$10,TRUE,FALSE)
Áï LinEst ÇÔ¼ö´Â OLS ¹æ½ÄÀ» äÅÃÇϰí ÀÖ´Â °ÍÀÌ´Ù. ±×¸®°í ÀÌ·¸°Ô ÃßÁ¤µÈ ȸ±Í°è¼ö¸¦ ÀÌ¿ëÇØ ÃßÁ¤Ä¡¸¦ ±¸Çϸé... ¿ª½Ã³ª GLSÀÇ ÀÜÂ÷Á¦°öÇÕ(SSE)ÀÌ ´õ ³·°Ô ³ª¿Ô´Ù.
G3 ¼¿:
=EXP(MMULT(POWER($A3,{0,1}),L$3:L$4))/(1+EXP(MMULT(POWER($A3,{0,1}),L$3:L$4)))
G12 ¼¿:
=SUMXMY2($E$3:$E$11,G$3:G$11)
ÀÌ °á°ú´Â ³ôÀ̶ó´Â Á¤º¸¸¦ ÀÌ¿ëÇØ °¿ø±Ç¿¡ ÀÖÀ» È®·üÀ» °¡¸®Å²´Ù. ±×·³ ¹è¹Ý»ç°Ç¿¡ ÇØ´çµÇ´Â ¼öµµ±Ç¿¡ ´ëÇØ¼´Â Á÷Á¢ °è»êÇØ º¸±â ¹Ù¶õ´Ù. ³í¸®ÀûÀ¸·Ð 1¿¡¼ °¿ø±ÇÀÏ È®·üÀ» »©¸é ¼öµµ±ÇÀÏ È®·üÀÌ ³ª¿Í¾ß ÇÑ´Ù.
ÀÌÂë¿¡¼ ±Ã±ÝÀÌ Çϳª Æ¢¾î ³ª¿Ã °ÍÀÌ´Ù. Àú¹ø¿¡ »ìÆìº» ÆÇº°ºÐ¼®°ú ·ÎÁö½ºÆ½ ȸ±ÍºÐ¼® Áß ¾î´À °ÍÀÌ ´õ È¿°úÀûÀϱî?
ÆÇº°ºÐ¼®¿¡¼ ¾òÀº ±âÁØ ³ôÀÌ´Â 760.9m À̾ú´Ù. À̸¦ ·ÎÁö½ºÆ½ ȸ±ÍºÐ¼® °á°ú¿¡ ´ëÀÔÇϸé... OLS¸¦ Àû¿ëÇÏ¸é °¿ø±ÇÀÏ È®·üÀÌ ¾à 0.4598, GLS¸¦ Àû¿ëÇÏ¸é ¾à 0.3738·Î ³ª¿Â´Ù. ±×·¯³ª ·ÎÁö½ºÆ½ ȸ±ÍºÐ¼® °á°ú È®·üÀÌ 0.5ÀÏ ³ôÀÌ´Â OLS¸¦ Àû¿ëÇÏ¸é ¾à 799.5m ÀÌ´Ù. GLS´Â ¾à 863.2m ·Î ÃßÁ¤ µÈ´Ù. GLS·Î ÇÏ¸é ºÏÇÑ»ê(836m)Àº °¿ø±Ç¿¡ ¼ÓÇÒ È®·üÀÌ 0.4658·Î ³ª¿Â´Ù. ±×¿¡ ¹ÝÇØ ȫõ ÆÈºÀ»ê(302m)´Â °¿ø±Ç¿¡ ¼ÓÇÒ È®·üÀÌ OLS 0.1113, GLS 0.0558ÀÌ´Ù.
À½... ¶Ç ´Ù½Ã °í¹Î ½ÃÀÛÀÌ´Ù.

Previous